
نمونه سوالات آزمون های تخصصی نظام مهندسی (عمران (محاسبات)) مجموعه دروس تخصصی سال 1403 (مرداد)
ویکی کیو
۱۴۰۴/۷/۲۴
60 تست
جهت مشاهده پاسخ صحیح سوالات، لطفا یک گزینه را انتخاب نمایید.
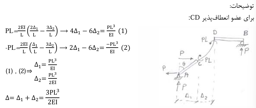
1 - در سازه شکل زیر حداکثر جابه جایی افقی تکیه گاه B مطابق با کدام یک از مقادیر زیر است؟ از تغییر طول محوری و تغییر شکل برشی اعضا و نیز از آثار مرتبه دوم صرف نظر شود.


2 -


3 - در سازه نشان داده شده چنانچه از تغییر شکل های محوری اعضای افقی و قائم صرف نظر شده و مساحت مقاطع مهاربندها یکسان فرض شوند، نسبت نیروی محوری مهاربند فشاری به نیروی،محوری مهاربند کششی، تحت بار نشان داده شده، به کدام یک از گزینه های زیر نزدیک تر است؟ تحلیل الاستیک از مرتبه اول است


4 -


5 -


این بسته آموزشی شامل سوالات تخصصی در زمینه مهندسی عمران (محاسبات) می باشد و به طور خاص بر طراحی سازه های بتنی و فولادی، تحلیل بارگذاری (زلزله و باد)، و مسائل مربوط به ژئوتکنیک تمرکز دارد. سوالات شامل محاسبات مربوط به مقاومت مصالح، طراحی اعضا، و تحلیل سازه ای بر اساس آیین نامه های مرتبط است.
پس از خرید، محتوای بسته بلافاصله در پنل کاربری شما در صفحه "بستههای من" فعال شده و از طریق تمامی دستگاهها قابل دسترسی است.
بله؛ با توجه به تغییرات سرفصل آزمون، هر زمان سوالات و محتوای بسته بهروزرسانی شود، پس از انتشار به صورت رایگان برای خریداران نسخه آپدیت شده در دسترس قرار میگرد.
