
نمونه سوالات آزمون های تخصصی نظام مهندسی (عمران (محاسبات)) مجموعه دروس تخصصی سال 1402 (اردیبهشت)
ویکی کیو
۱۴۰۴/۷/۲۳
60 تست
جهت مشاهده پاسخ صحیح سوالات، لطفا یک گزینه را انتخاب نمایید.
1 - در قاب شکل زیر اگر از تغییر طول محوری و تغییر شکل برشی ستون ها صرف نظر شود و تیر کاملا صلب باشد، جابه جایی افقی در تراز طبقه به کدام یک از مقادیر زیر نزدیک تر است؟صلبیت خمشی ستون ها یکسان و برابر EI است.


2 - در قاب شکل زیر اگر از تغییر شکل های محوری و برشی عضو افقی صرف نظر شود، حداکثر جابه جایی افقی در نقطه C به کدام یک از مقادیر زیر نزدیک تر است؟


3 - در سازه شکل زیر اگر از تغییر طول محوری و تغییر شکل برشی اعضا و نیز از آثار مرتبه دوم صرف نظر شود، کدام یک از گزینه های زیر صحیح است؟


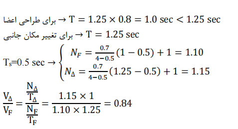
4 - ۴- در یک ساختمان مسکونی 10 طبقه واقع در شهر مشهد از نوع قاب خمشی بتنی ویژه، زمان تناوب تجربی برابر 0.8 ثانیه و زمان تناوب تحلیلی برابر 1.25 ثانیه محاسبه شده است. نسبت کمترین برش پایه برای کنترل تغییر مکان جانبی نسبی این ساختمان به کمترین برش پایه برای طراحی اعضای آن مطابق کدام یک از گزینه های زیر خواهد بود؟ فرض کنید در هیچ حالتی برش پایه حداقل حاکم نبوده و Ts=0.5 s است. همچنین فرض نمائید جداگرهای میانقابی مانعی برای حرکت قاب ها ایجاد نمی نمایند.

5 -



این بسته شامل سوالات آزمون های تخصصی نظام مهندسی عمران (محاسبات) اردیبهشت 1402 است. سوالات مربوط به مباحث مختلفی از جمله تحلیل سازه، طراحی لرزه ای ساختمان ها (بتنی و فولادی)، بارهای وارد بر ساختمان (زلزله، باد، سیل)، و اتصالات در سازه های بتنی و فولادی می باشد.
پس از خرید، محتوای بسته بلافاصله در پنل کاربری شما در صفحه "بستههای من" فعال شده و از طریق تمامی دستگاهها قابل دسترسی است.
بله؛ با توجه به تغییرات سرفصل آزمون، هر زمان سوالات و محتوای بسته بهروزرسانی شود، پس از انتشار به صورت رایگان برای خریداران نسخه آپدیت شده در دسترس قرار میگرد.
