نمونه سوالات آزمون های عمومی استخدامی آموزش پرورش (دبیر کار و فناوری) فناوری اطاعات و ارتباطات سال 1402
ویکی کیو
۱۴۰۴/۶/۶
7 تست
پیش نمایش
توضیحات
دیدگاه ها
پیش نمایش نمونه سوالات فناوری اطاعات و ارتباطات
جهت مشاهده پاسخ صحیح سوالات، لطفا یک گزینه را انتخاب نمایید.
1 -
2 - کدام مورد در خصوص حافظه های RAM و ROM صحیح است؟
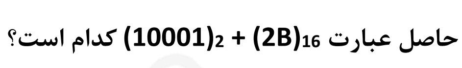
3 - خروجی روند نمای رو به رو به ازای 11=number کدام است؟
پیوست سوال
توضیحات:
بسته طلایی نمونه سوالات آزمون های عمومی استخدامی آموزش پرورش (دبیر کار و فناوری) فناوری اطاعات و ارتباطات سال 1402 ویکیکیو با بالاترین استانداردهای آموزشی توسط تیم متخصص محتوای آموزشی ویکیکیو طراحی شده است. این مجموعه بهعنوان یک ابزار استراتژیک، نیازهای داوطلبان را در شش سطح زیر پوشش میدهد:
سوالات متداول (FAQ)
نحوه دسترسی به محتوای سوالات چگونه است؟
پس از خرید، محتوای بسته بلافاصله در پنل کاربری شما در صفحه "بستههای من" فعال شده و از طریق تمامی دستگاهها قابل دسترسی است.
آیا سوالات و محتوای بسته بروزرسانی میشود؟
بله؛ با توجه به تغییرات سرفصل آزمون، هر زمان سوالات و محتوای بسته بهروزرسانی شود، پس از انتشار به صورت رایگان برای خریداران نسخه آپدیت شده در دسترس قرار میگرد.
با ویکی کیو به بزرگترین بانک نمونه سوالات تستی دسترسی دارید. این تست ها صرفا از طریق وبسایت و اپلیکیشن ویکی کیو قابل استفاده می باشند پس از یافتن تستهای دلخواه خود , آن بسته تست را خریداری نمایید سپس از طریق اپلیکیشن هوشمند ویکی کیو می توانید تست ها را با روشهای گوناگون مرور کنید , تستهای مهم را علامت گذاری کنید , نکات درسی را به توضیحات تست ها اضافه کنید , تست ها را به شکل دلخواه ویرایش نمایید , تست جدید بسازید و به تستهای قبلی اضافه کنید , از تستهای خریداری شده بصورت آفلاین برای خود آزمون بسازید و پس از برگزاری آزمون نتیجه آزمون را به همراه پاسخنامه و محتوای سوالات ببینید و ذخیره کنید. اینها فقط بخشی از امکانات گسترده و بی نظیر ویکی کیو می باشد.