
نمونه سوالات متوسطه-هفتم تا کنکور کنکور ریاضی فیزیک ریاضیات دوازدهم(نظام قدیم)-1394 - بخش (3)
ویکی کیو
۱۴۰۳/۹/۱۷
66 تست
جهت مشاهده پاسخ صحیح سوالات، لطفا یک گزینه را انتخاب نمایید.
1 - در دنباله اعداد ….2,8,24 مجموع جملات n ام و n-1 ام به کدام صورت است؟

2 - بین دو عدد 31 و 13 به تعداد 37 جمله نوشته شده است. به طوری که دنباله حسابی تشکیل می دهند جمله وسط کدام است؟

3 - اگر به عضوهای یک مجموعه 3 عضو جدید اضافه شود به تعداد زیر مجموعه های آن 224 واحد اضافه می شود. تعداد عضوهای مجموعه اولیه کدام است؟

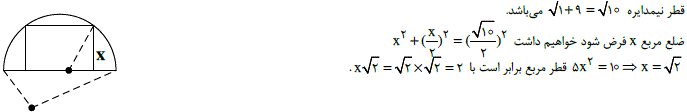
4 - به قطر وتر مثلث قائم الزاویه با اضلاع قائمه 1 و 3 واحد نیمدایره ای رسم شده است، در داخل نیمدایره مربعی محاط می کنیم که یک ضلع آن بر روی وتر مثلث مذکور باشد، قطر این مربع چند واحد است؟

5 - در مثلثی BC=6,AC=7,AB=5 فاصله پای ارتفاع AH از وسط ضلع BC کدام است؟

این بسته شامل سوالات ریاضیات کنکور رشته ریاضی فیزیک نظام قدیم (سال 1394) است. سوالات از مباحث مختلف ریاضیات دبیرستانی از جمله حساب، هندسه، آمار و احتمال، و مباحث مربوط به کنکور ریاضی طرح شده اند.
پس از خرید، محتوای بسته بلافاصله در پنل کاربری شما در صفحه "بستههای من" فعال شده و از طریق تمامی دستگاهها قابل دسترسی است.
بله؛ با توجه به تغییرات سرفصل آزمون، هر زمان سوالات و محتوای بسته بهروزرسانی شود، پس از انتشار به صورت رایگان برای خریداران نسخه آپدیت شده در دسترس قرار میگرد.
