نمونه سوالات آزمون های کارشناسی ارشد زیست شناسی سلولی و مولکولی بیوشیمی سال 1397
ویکی کیو
۱۴۰۲/۱۰/۱۱
20 تست
پیش نمایش
توضیحات
دیدگاه ها
پیش نمایش نمونه سوالات بیوشیمی
جهت مشاهده پاسخ صحیح سوالات، لطفا یک گزینه را انتخاب نمایید.
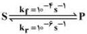
1 - ثابت تعادل واکنش زیر (در جهت رفت) کدام است؟
2 -
3 - آنزیم آلدولاز جزء کدام دسته آنزیمی است؟
توضیحات:
این بسته شامل سوالات تستی در زمینه بیوشیمی، زیست شناسی سلولی و مولکولی برای آمادگی آزمون کارشناسی ارشد است. سوالات مباحث مختلفی از جمله آنزیم ها، متابولیسم، پروتئین ها، کربوهیدرات ها، لیپیدها، ویتامین ها، ساختار هموگلوبین، تکنیک های آزمایشگاهی و ... را پوشش می دهد.
سوالات متداول (FAQ)
نحوه دسترسی به محتوای سوالات چگونه است؟
پس از خرید، محتوای بسته بلافاصله در پنل کاربری شما در صفحه "بستههای من" فعال شده و از طریق تمامی دستگاهها قابل دسترسی است.
آیا سوالات و محتوای بسته بروزرسانی میشود؟
بله؛ با توجه به تغییرات سرفصل آزمون، هر زمان سوالات و محتوای بسته بهروزرسانی شود، پس از انتشار به صورت رایگان برای خریداران نسخه آپدیت شده در دسترس قرار میگرد.
با ویکی کیو به بزرگترین بانک نمونه سوالات تستی دسترسی دارید. این تست ها صرفا از طریق وبسایت و اپلیکیشن ویکی کیو قابل استفاده می باشند پس از یافتن تستهای دلخواه خود , آن بسته تست را خریداری نمایید سپس از طریق اپلیکیشن هوشمند ویکی کیو می توانید تست ها را با روشهای گوناگون مرور کنید , تستهای مهم را علامت گذاری کنید , نکات درسی را به توضیحات تست ها اضافه کنید , تست ها را به شکل دلخواه ویرایش نمایید , تست جدید بسازید و به تستهای قبلی اضافه کنید , از تستهای خریداری شده بصورت آفلاین برای خود آزمون بسازید و پس از برگزاری آزمون نتیجه آزمون را به همراه پاسخنامه و محتوای سوالات ببینید و ذخیره کنید. اینها فقط بخشی از امکانات گسترده و بی نظیر ویکی کیو می باشد.