
نمونه سوالات کارشناسی ارشد پیام نور آمار و کاربردها فرایند های تصادفی 1 نیمسال دوم 92-1391
ویکی کیو
۱۴۰۲/۱۰/۱۱
30 تست
جهت مشاهده پاسخ صحیح سوالات، لطفا یک گزینه را انتخاب نمایید.
1 - در شهری ۳ کارخانه لامپ سازی وجود دارد که به ترتیب ۶۰، ۷۰ و ۳۵ درصد تولیدات آنها لامپ ۱۰۰ وات است. در ضمن هریک از کارخانه ها به ترتیب ۳۰، ۲۰ و ۵۰ درصد از نیاز جامعه را تامین می کنند. چند درصد لامپ های موجود در بازار ۱۰۰ وات است؟
2 - کدام یک از توزیع های زیر دارای خاصیت بی حافظگی است؟
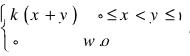
3 - مقدار k چقدر باشد تا تابع زیر، تابع چگالی احتمال توام باشد؟

4 - فرض کنید X و Y دارای توزیع یکنواخت بر مجموعه {1≥ x,y)|0≤x≤y)} با تابع چگالی زیر باشد مقدار ضریب همبستگی کدام است؟

5 - فرض کنید X دارای توزیع یکنواخت بر بازهی (۱,ه) باشد. اگر x=X آنگاه Y دارای توزیع پواسن با پارامتر زیر است. مقدار (E (Y چقدر است؟

این بسته شامل سوالات مربوط به درس فرایندهای تصادفی 1 برای دانشجویان کارشناسی و کارشناسی ارشد رشته های ریاضیات و کاربردها، آمار، ریاضی محض و ریاضی کاربردی دانشگاه پیام نور در نیمسال دوم سال تحصیلی 92-1391 می باشد. سوالات مفاهیم پایه ای و کاربردی این درس را پوشش می دهد.
پس از خرید، محتوای بسته بلافاصله در پنل کاربری شما در صفحه "بستههای من" فعال شده و از طریق تمامی دستگاهها قابل دسترسی است.
بله؛ با توجه به تغییرات سرفصل آزمون، هر زمان سوالات و محتوای بسته بهروزرسانی شود، پس از انتشار به صورت رایگان برای خریداران نسخه آپدیت شده در دسترس قرار میگرد.
