
نمونه سوالات کارشناسی ارشد پیام نور آمار و کاربردها فرایند های تصادفی 1 نیمسال دوم 91-1390
ویکی کیو
۱۴۰۲/۱۰/۱۱
30 تست
جهت مشاهده پاسخ صحیح سوالات، لطفا یک گزینه را انتخاب نمایید.
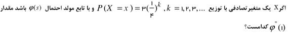
1 -

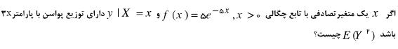
2 -

3 - تاس سالمی را متوالیا پرتاب می کنیم تا ۶ بیاید. در صورت مشاهده k ،(k = ۱,۲,...,۵)kدقیقه صبر می کنیم سپس دوباره تاس را پرتاب می کنیم. اگرT مدت زمان انتظار تا آمدن ۶ باشد. ( E (T چیست ؟
4 -

5 -

این بسته شامل سوالات درس فرایندهای تصادفی 1 برای مقاطع کارشناسی و کارشناسی ارشد رشته های ریاضیات و کاربردها، آمار، ریاضی محض، ریاضی کاربردی و آمار ریاضی دانشگاه پیام نور در نیمسال دوم سال تحصیلی 91-1390 می باشد. سوالات مطرح شده در زمینه مباحث زنجیره مارکوف، توزیع مانا، حالات گذرا و بازگشتی، مسئله ورشکستگی قمارباز، زنجیر قدم زدن تصادفی، زنجیر زاد و مرگ، زنجیره ارنفست و توزیع های هندسی، پواسون و یکنواخت گسسته است.
پس از خرید، محتوای بسته بلافاصله در پنل کاربری شما در صفحه "بستههای من" فعال شده و از طریق تمامی دستگاهها قابل دسترسی است.
بله؛ با توجه به تغییرات سرفصل آزمون، هر زمان سوالات و محتوای بسته بهروزرسانی شود، پس از انتشار به صورت رایگان برای خریداران نسخه آپدیت شده در دسترس قرار میگرد.
